众营湍流节能灶颠覆节能改造行业
随着节能环保事业的不断被推在制高点,目前商用厨房节能改造行业蒸蒸日上,也势在必行。
同时,各类节能改造企业如雨后春笋般一样遍地都是。节能改造企业越来越多,同时行业也越来越乱,一些没有根基,不专业的企业也是滥竽充数。不仅坑害了商户,更是祸害了整个节能改造业。

(山东聊城职业技术学校领导与众营CEO合影留念)
在这些企业当中,有大概两种类型。他们给的方案也各不相同。
首先就是整体厨房设备更换方案实现节能效果,这种方案的优点是在产品节能效果没问题的话,节能效果更为明显。但缺点更为突出。首先,我们做的是节能环保事业,本用的好好的设备,如果全部更换新的,无疑是造成更大的浪费,其次是运营成本太高,相比节能改造只是改设备的一个配件,全部更换成本高出好几倍。但现货基本一样,还有就是设备很大,很重,安装售后都需要2-4人以上才能完成。人力成本,仓储成本,产品成本和运营成本都非常高。
另外一种就是只改猛火灶设备的炉头,这种方式优点是操作简单,成本低,施工一个人就可以完成。但本方案要求,改造服务商一定非常专业,不仅有真正节能的产品,更要有完善的改造方案和操作规范,不然很难做出效果。和规范行业持续发展的有效措施。
提到商厨节能改造,就不得不提到上海众营节能科技有限公司的湍流节能灶了,众营湍流节能是一家集节能灶研发,生产和销售于一体的综合性服务公司,拥有“一级节能管理服务企业等级资质”和“AAA级信用企业”等多项资质证书,并于2023年5月完成A轮融资,前美特斯邦威副总裁,波司登前副总裁程伟雄老师也拜访过上海众营总部。也吸引了来自政府部门以及社会各界的领导前来观摩考察。甚至一些像跳水奥运冠军汪皓,健美操世界冠军陶绪,跳水世界冠军余卓成等奥运世界冠军也为众营纷纷点赞,目前众营节能已经拥有两家工厂分别位于上海的整厨生产厂和浙江的炉头生产厂,公司拥有多项发明专利,并服务过全国大小30多座城市,其中业务覆盖四川,山东,重庆,江苏,河北,陕西,江西,河南,云南,湖北等地。合作的主要客户群有院校,社会餐饮,党政机关食堂,工厂食堂。比较有代表性的有世界500强日本吉田拉链(YKK)闵行区工厂食堂,望湘园,秦皇岛环保学院,重庆信息技术学院,山东聊城职业技术学院等。

(左:程伟雄老师 右:余磊先生)
之所以众营能发展如此迅速,得益于众营科技独特的节能方案和产品。据了解,上海众营节能科技公司的湍流节能灶核心技术来源于湍流技术,再结合中国科学院力学教授窦华书老先生研究的能量梯度理论,通过产品的研发设计通过能量梯度理论提高雷诺数,产生湍流现象,让灶预混仓更加充分,火力更猛。实现节能30%以上,且静音耐用。

(左一:窦华书教授 右一:余磊先生)
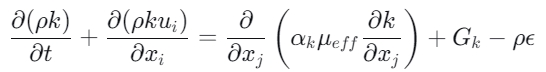
并且众营节能也做了仿真模拟,在进行CFD仿真优化时,通常采用 标准 k−ϵ 模型 或 RNG k−ϵ 模型 来模拟炉内湍流流动 。
湍动能 k 方程和耗散率 ϵ 方程控制着混合强度:

把一份事业做好,只靠产品也是不够的,还要有完善的服务体系。
据上海众营节能公司内部人透露,众营节能科技不仅产品过硬,同时拥有来自英国利物浦大学硕士的市场部总监主稿撰写的运营和技术培训手册,两本你手册包括了节能改造项目对于运营者该怎么做,以及技术的培训及操作办法。由于涉及核心机密,具体细节没有过多透露。

(图为:上海众营节能 CEO余磊先生在大学做物联网在节能灶上的应用讲座)
但从这些种种我们不难发现,上海众营湍流节能灶,不仅是一款有核心技术功底的设备,企业的运营更是专业化运营。而不是传统的一些企业只强调某方面,做项目绝对是一份小工程,不仅产品服务要好,怎么做才是更重要的。我们也期待上海众营湍流节能灶在未来创造更多的佳绩。